スマートホームについての話の中で、「メッシュネットワーク」という言葉が度々登場しますが、これはどういう意味なのでしょう?また、スマートホームとどのように関係する言葉なのでしょうか。
本稿では、スマートホームとメッシュネットワークの関係について解説します。
メッシュネットワークとは
メッシュ(Mesh)とは網目状の構造のことで、メッシュネットワークは網目状に繋がった通信網を指します。メッシュネットワークを構築する各々の機器は、互いにデータ転送のための中継点として機能することが特徴です。
以下でスマート、スマートホームの例を使ってもう少し詳しく説明します。
スマートホームにおけるメッシュネットワーク
メッシュネットワークでないネットワークには、例えば、通常の Wi-Fiによる通信が挙げられます。
下図のように、通常の Wi-Fiを使った通信では Wi-Fiルーターと各々のスマートホーム製品(照明やセンサ)が接続されています。各々のスマートホーム製品同士は通信をしていません。仮に「スマートスピーカーに音声で指示を出すと照明が点く」ような設定をしている場合にも、データのやり取りは Wi-Fiルーターを経由します。

この通信構造では、Wi-Fiルーターから離れすぎている場合には上手く接続ができないという問題が生じます。また、Wi-Fiルーターには接続できる機器の数に制限があるので、あまり多くの機器を繋げると通信速度が低下する恐れがあります。
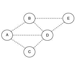
一方、メッシュネットワークを採用している通信方式では、下図のように各々の機器同士でも通信を行えます。メッシュネットワークを採用している場合、Wi-Fiルーターから物理的に距離がある機器に対しても、他の機器を中継してデータを転送することが可能です。

また、どこかの機器が壊れて通信を中継できなくなったとしても、別の機器を経由した新たな経路を構築してデータを届けることができるため、ネットワークに冗長性が増し、頑強になります。こうした特徴から、ネットワークに参加する機器が増えるとシステム全体の安定感が増します。
メッシュネットワークは多数の機器を繋ぐスマートホームと相性が良いため、メッシュネットワークを採用するスマートホーム機器が増加傾向にあるというわけです。
通信規格
メッシュネットワークを構築できるかどうかは通信規格に依ります。通信規格とは機器間でデータをやり取りする際のルールのことです。
よく耳にする代表的な通信規格であれば、Wi-Fiや、Bluetooth、4Gや 5Gが挙げられるかと。通信規格によって有線/無線、長距離/遠距離、メッシュネットワークを採用しているか否か、などなどが変わってきます。
以下では、メッシュネットワークを採用している通信規格について簡単に紹介します。
Bluetooth Mesh
Bluetoothは 10m程度の距離で無線通信を行うための通信規格です。マウスやキーボード、イヤホンなどを有線で繋ぐ代わりに、無線で繋ぐ用途としてよく使われます。
Bluetooth Low Energy(BLE)や Bluetooth Meshは Bluetoothの通信モードの一部であり、この Bluetooth Meshを使うことでメッシュネットワークを構築可能です。
ただし、Bluetooth Meshはその仕組み上、データを中継するための消費電力が大きくなりやすく、バッテリーで駆動するセンサなどには導入が難しいという欠点があります。あくまで少数の機器を繋ぐための通信規格と言えるでしょう。
Zigbee
Zigbeeはセンサネットワークでの利用を目的とした近距離無線通信規格です。低消費電力で接続も簡単ですが、Bluetoothと比べると少々繋がりにくさはあるようです。
Philipsや IKEA, MOESなどの多くのスマートホーム製品には Zigbeeが使われてきました。
ただし、スマートホームの共通規格である Matterの登場によって状況は少々変わってきているようです。
Thread
Matterが正式に採用している通信規格の 1つが、新たに登場した Threadです。低消費電力でメッシュネットワークを採用しているところは Zigbeeと同じ。大きな違いは IPv6ベースであり、インターネットと高い親和性があることです。
スマートホームの特徴の 1つは「外出先から家の中の機器を操作できる」というところですが、Zigbeeはインターネットを介してデータをやり取りすることが苦手です。Threadなら、このための手間が省けてラク、ということで、Matterに採用されました。
今(2026年3月時点)はまだ Threadに対応している機器が少ないですが、スマートホーム用のメッシュネットワーク通信規格として Threadが優れていることは間違いなく、IKEAや Aqaraなどは徐々に Threadへの移行を進めています。
メッシュ Wi-Fi
先に、通常の Wi-Fiがメッシュネットワークではないと述べましたが、Wi-Fiにもメッシュ通信を行うモードがあり、対応している製品であればメッシュネットワークを構築できます。
先に紹介した Zigbeeや Threadと違い、Wi-Fiは消費電力が大きく、大量のデータを転送できる通信方式です。スマートホームにおいては、監視カメラやスマートスピーカーなど、多くのデータ転送が必要な機器の通信に用いられ、Threadと相互に補完する関係にあります。